
前言
對“十三五”電量增長規律的認識,尤其是分析出各地市電量增長的差異,有助于研判和把握下一時期各地區電量消費走勢。燴能君以河南省18個地市為分析對象,量化分析全行業、城鄉居民用電量增長的動因,以期找到各地市“十三五”期間電量增長的特點。
01地市全行業用電量增長動因分析
三次產業用電量與三次產業增加值一一對應,重點研究各地市經濟結構、電量消費強度變化對電量增長的影響。
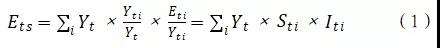
全行業用電量分解如下:

式(1)中:Ets為第t年某地區三次產業總用電量,Yt為第t年地區總產值,Yti為第t年地區i次產業增加值,i=1、2、3,Eti為第t年地區i次產業用電量。
上式把全行業用電量E分解為Y、S、I三項。
Y是規模因素,表征GDP的產出效應,反映地市經濟增長對用電量的拉動作用;
S是結構因素,表征GDP的結構調整,反映地市產業結構變化對用電量的影響;
I是強度因素,表征用電強度,反映技術進步和節能降耗對電量消費的抑制作用。
1.1 產出效應
GDP的增長和三次產業的發展是“十三五”期間河南省各地市電量增長的主要原因,產出效應增加電量消費838.0億千瓦時。產出效應在鄭州、洛陽表現明顯,兩地市的產出效應占全省產出效應的比例超過30%。這與兩地市的經濟規模密切相關,2020年鄭州、洛陽在全省GDP排名分別是第一、第二。

1.2 結構效應
由發達國家的電力發展歷程可知,隨著工業化進程的完成以及第三產業的發展,電量消費增速會呈現下降趨勢。“十三五”期間,河南供給側結構性改革深入推進,制造業“三大改造”全面實施,戰略性新興產業和數字經濟加速發展,已實現了由“二三一”產業結構向“三二一”產業結構的歷史性轉變。結構效應本應引起電量消費的下降,可實際帶來電量增長4.9億千瓦時。主要原因是各地市產業結構調整步伐存在較大差異,大部分地市二產占比仍有所提升。
全省18個地市中,因結構效應電量消費減少的地市有6個,其中降幅較大的地市是安陽、鄭州、洛陽。這3個地市結構調整力度最大,2020年第二產業增加值在GDP的比重較2015年分別下降2.3、1.0、0.6個百分點,三地市合計減少電量12.6億千瓦時,對全省因結構效應增加電量的貢獻度達到-259%。因結構效應電量消費增加的地市有12個,其中增幅最大的地市是新鄉,電量增加4.3億千瓦時。原因是新鄉產業結構調整緩慢,2020年第二產業增加值在GDP的比重較2015年上升了1.8個百分點。

1.3 強度效應
“十三五”期間因強度效應河南省電量消費降低508.8億千瓦時。第二產業耗電強度的降低是抑制電量消費增長最主要的原因。
全省18個地市中,因強度效應電量消費減少的地市有16個,其中降幅較大的地市是鄭州、洛陽、安陽和商丘。這4個地市2020年第二產業耗電強度較2015年分別下降了319、448、632、713千瓦時/萬元,因強度效應4地市合計減少電量317.7億千瓦時,對全省因強度效應減少的電量貢獻度超過60%。電量消費因強度效應增加的地市僅有許昌和周口,原因是這兩個地市第三產業耗電強度的上升抵消了第二產業耗電強度的下降。2020年許昌和周口第三產業耗電強度較2015年分別上升83、152千瓦時/萬元,而第二產業耗電強度僅分別下降34、55千瓦時/萬元。

02地市居民生活用電量增長動因分析
城鄉居民用電量與常住人口關系密切,可以研究各地市人口流動、人均用電量變化對電量增長的影響。
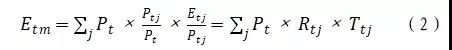
城鄉居民用電量分解如下:

式(2)中:Etm為第t年城鄉居民用電量,Pt為第t年某省份總的常住人口,Ptj為第t年j地市的常住人口,j=1、2、3.........18,Etj為第t年j地市的城鄉居民用電量。
上式把E居民生活用電量分解為P、R、T三項。
P是規模因素,表征人口增長效應,反映人口增長對城鄉居民用電量的拉動作用;
R是結構因素,表征人口遷移效應,反映地市間人口流動對城鄉居民用電量的影響;
T是強度因素,表征人均生活用電量水平,反映居民生活水平提高對城鄉居民用電量的影響。
2.1 人口增長效應
“十三五”河南省因人口效應增加居民用電量42.0億千瓦時。其中,鄭州、南陽增長效應明顯,兩地市合計增長10.6億千瓦時,對全省因人口增長效應產生電量增長的貢獻度超過25%。這與兩地市人口規模密切相關,2020年鄭州、南陽在全省常住人口排名分別是第一、第二。

2.2 人口遷移效應
“十三五”河南省因遷移效應增加居民用電量9.4億千瓦時。其中,鄭州、安陽、平頂山和南陽電量增長明顯,4地市合計增長32.4億千瓦時,對全省因人口遷移增長電量的貢獻率超過300%。因為此4地市人口聚集效應明顯,“十三五”期間鄭州、安陽、平頂山和南陽常住人口年均增速分別為5.7%、6.4%、4.3%、2.5%,遠超全省平均增速1.5%。與之對應,駐馬店、信陽、漯河、三門峽人口外流現象嚴重,“十三五”期間駐馬店、信陽、漯河、三門峽常住人口年均增速為-2.4%、-0.5%、-2.0%、-2.0%。其中,“十三五”駐馬店因遷移效應居民生活用電量下降6.9億千瓦時,下降幅度最大。

2.3 人均生活用電量
“十三五”河南省因強度效應增加居民用電量183.6億千瓦時。其中,駐馬店、信陽、南陽、周口和商丘增長效應明顯,5地市合計增長95.5億千瓦時,對全省因人均生活用電量水平提升創造電量增長的貢獻度超過50%。

03“十三五”期間各地市電量增長的特點
“十三五”期間河南省全行業用電量增加334.0億千瓦時。從電量增量的分解來看,三次產業增加值的增長是拉動電力消費增長的首要因素,GDP產出效應拉動電量增長838.0億千瓦時;耗電強度的下降是電力消費增長的主要抑制因素,強度效應拉低用電量消費508.8億千瓦時;相較之下產業結構調整對電力消費的影響較小,拉動電量消費僅4.9億千瓦時。通過區域分解可知,鄭州、洛陽兩地市經濟規模大,產出效應更為明顯,對全省因產出效應增加的電量貢獻度超過30%。鄭州、洛陽、安陽和商丘第二產業耗電強度下降幅度大,合計減少電量317.7億千瓦時,對全省因強度效應減少的電量貢獻度超過60%。
“十三五”期間河南省城鄉居民用電量增加234.9億千瓦時。從對電量增量的分解來看,居民生活水平提高、人均用電量的提升對城鄉居民用電量的帶動作用最強,強度效應拉動電量增長183.6億千瓦時;常住人口自然增加對居民用電量增長的推動效應明顯,人口效應增加居民用電量42.0億千瓦時;相較之下人口遷移對電力消費的影響較小,僅拉動電量消費增加9.4億千瓦時。通過區域分解可知,駐馬店、信陽、南陽、周口和商丘人均生活用電量增長效應明顯,對全省因強度效應增長電量的貢獻度超過50%。鄭州、南陽常住人口多、人口規模大,對全省因人口規模增長電量的貢獻度超過25%。鄭州、安陽、平頂山和南陽人口聚集效應明顯,對全省因人口遷移增長電量的貢獻率超過300%。
04“十四五”期間用電量消費走勢預判
經濟規模的發展是全行業用電量增長的首要動力。盡管全省經濟運行外部環境不確定性增多、增長速度放緩、下行壓力加大,但從長期發展態勢來看,作為1億人口的發展中大省,隨著工業化和城鎮化的持續推進,消費、投資、出口三大需求空間廣闊,通過產品結構升級、綠色低碳發展、供給能力提升,企業適應市場韌性將不斷增強,預期“十四五”河南經濟基本面良好、運行總體平穩,三次產業用電量仍將保持一定的增長。同時需要更加注重產業結構優化升級對推動增長動力轉換、實現高質量發展的驅動作用,更加注重節能減排技術的使用和行業用電效率的提升,不斷降低河南單位產值用電量水平,更加注重結構調整和用電強度降低對電量消費的抑制作用,“十四五”期間三次產業用電量增速較“十三五”將有所下降,保持在合理區間。
居民生活水平的提升和人均用電量的增長是居民用電量增長的首要動力。隨著城鎮化的發展、人均可支配收入的提升,電動汽車、空調、冰箱等電器普及率進一步提升;同時考慮終端用能清潔化發展趨勢,“煤改電”等清潔取暖方式的普及,“十四五”期間居民生活用電量進一步發展,增速較“十三五”或將有所提升。




正在加載...

